For context see the Metropolitan Joseph: The Scandal section in the Archives 2020-23 linked at the top of this page.
On February 3, 2023, Orthodoxy in Dialogue published Patriarchal Vicar: Antiochian Bishops Exempt from Sexual Misconduct Policies & Procedures, in which we quote a senior clergyman as having “no idea” where to find the Archdiocese’s sexual misconduct policy or what it says. This is the policy which the Patriarchal Vicar, Metropolitan Antonios, declared to the clergy of the Archdiocese has no bearing on Archdiocesan bishops’ uncanonical or criminal sexual behaviour.
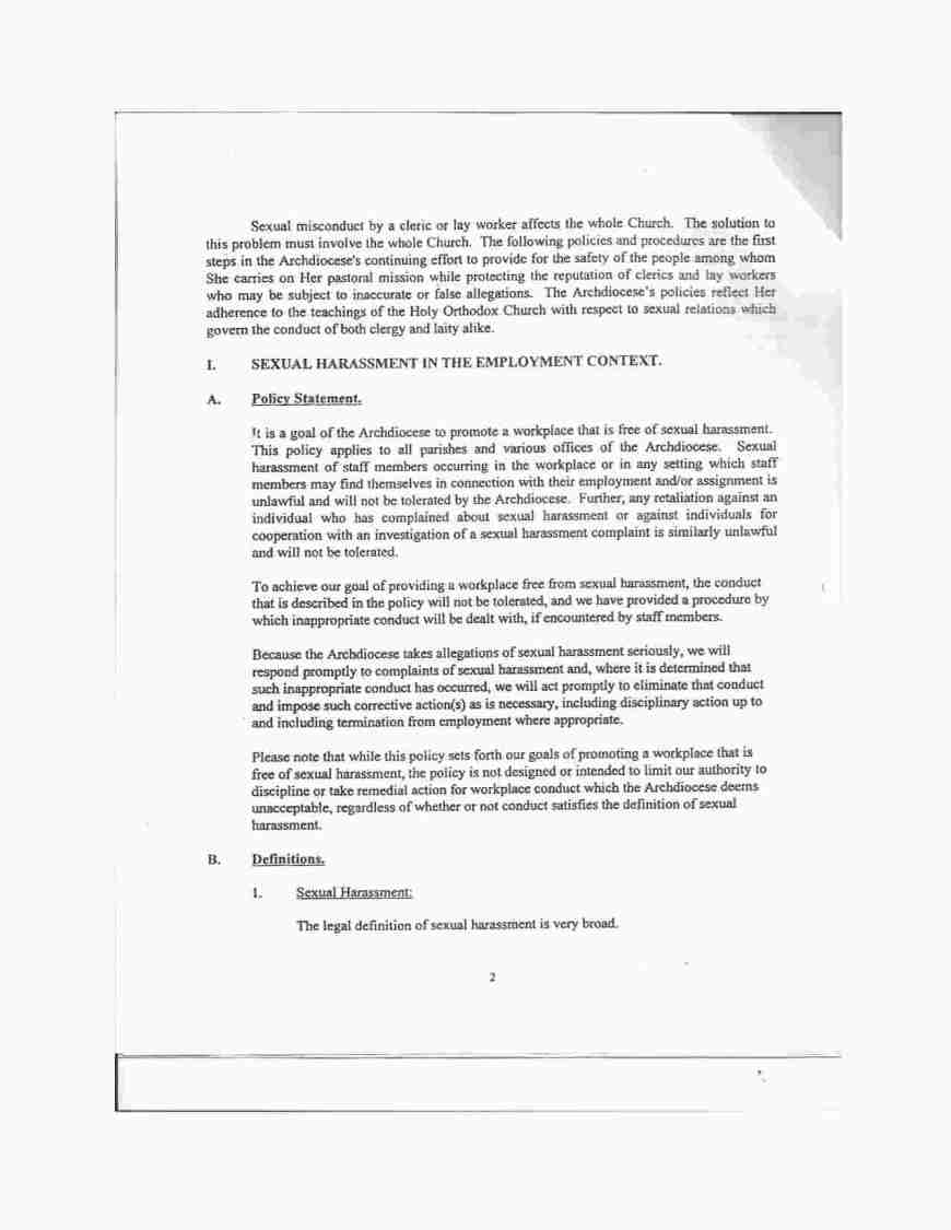
Two days later, one of our sources disinterred the policies and procedures in the form of a letter dated September 1, 1999, from Metropolitan Philip (Saliba). The enclosed document itself is dated June 3, 1999. Our source states that there have been no updates since it was issued twenty-four years ago. There seems to be nowhere that clergy and laity can actually access and make use of the policies and procedures to report sexual misconduct and abuse—nowhere, except Orthodoxy in Dialogue now.
The intent of the policies and procedures does, in fact, seem to focus on “parish workers,” including clergy, but not “Archdiocese workers,” such as the Metropolitan or the bishops. Unlike the much more contemporary policies of the Orthodox Church in America and the Greek Orthodox Archdiocese (see here), the Antiochian protocol offers access to no outside agency for the safe, confidential reporting of episcopal and clerical sexual abuse: victims in the Antiochian Archdiocese are forced to file their accusations exclusively with the “regional” bishop or with the Metropolitan himself. But what if the sexual abuser is the Metropolitan or one of the bishops?
We saw where this got the principal accuser in the Joseph Al-Zehlaoui scandal: precisely nowhere until Orthodoxy in Dialogue took over.
It is incumbent on the faithful of the Antiochian Archdiocese to protect themselves and their children by demanding a safer, more efficient way to report, investigate, and discipline—canonically and/or criminally—sexually abusive church workers, including the hierarchs. The faithful must speak, first, with their pocketbooks; and failing that, with their feet out the doors of the Antiochian parishes.














